首页 -> 2007年第1期
在数学活动中优化和提升学生学习品质的探索
作者:陈 芳 易良斌
基于课程发展的需要及中学生处于身心发展中的这一事实,为优化数学课堂教学,我们开展了以“感悟·体验”为特征的数学学习活动,给学生提供实践的“操作平台”,以期实现知识和能力自主建构,促进学生自主发展。
1.活动内容重“新鲜”。
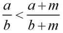
现代教育理论认为:倘若要使学生全身心地投入学习活动,那就必须让学生有学习的需求,学习内容必须是对他们有意义的或相关的问题,设计问题对学生具有挑战性,激励他们渴望发现、渴望认识、渴望解决,使教学内容成为吸引学生眼球的一大焦点。在数学活动教学实践中,我们往往选择一些对学生来说现实的、熟悉的、感兴趣的、同时又与数学相干的问题,激发学生的学习热情和欲望,促进他们思维的活跃起来。
《生活中的数学》:①用糖水中加糖,糖水变甜了,说明
成立;②从学生浪费营养午餐的现象探究:13亿粒米大约有多少?
《有趣的逻辑》:有A、B、C、D四个朋友住在同一个城镇上,其中一个是民警,一个是木匠,一个是医生,一个是农民。一天A的儿子摔坏了腿,A带儿子去找医生,医生的妹妹是C的妻子,农民没有结婚,他家养了很多母鸡,B经常到农民家去买鸡蛋,民警每天都与C见面,因为他俩住隔壁,根据以上信息判断A、B、C、D的身份。
《好玩的数学》:引人入胜的数字诗—《卓文君的数字诗》;耐人寻味的数学谜语——两牛打架——对顶角;擦去三角形的一条边——余角等。
这些新鲜活泼的教学内容为学生提供了大量操作、思考与交流的学习机会,使学生的智力因素和非智力因素交互促进、共同发展;让学生可以在良好状态下,自主地、积极地学习,“在主动探索中得到主动发展”。
2.活动形式重“新颖”。
内容的呈现必须借助于合适的教学方式,教学的效果才能更好地体现。在数学学习活动中,教师不再控制和支配数学学习,而是营造积极和谐的学习氛围,采用不同的教学方式和学习方式,组织、引导学生动手实践、自主探索、合作交流。
(1)实验性活动。如:在开展认知《大数》这一活动时,估算13亿粒米的质量和体积时,学生用天平称出少量米粒的质量,再计算出13亿粒米的质量;用天平称出一定体积量的米,再估算出13亿粒米的体积。很多同学用量筒、烧杯等有刻度的容器进行实验。
(2)制作性活动。如《设计轴对称图形》,学生运用轴对称知识,通过自己动手剪纸体验图形的对称性及规律;《制作视力表》,学生利用数学相似的知识,发挥充分的想像,用自己的小手制作出各种视力表。
(3)欣赏性活动。如《奇妙的分形艺术》,师生收集资料,采用播放欣赏图片的方式让学生感知函数图形的魅力;《黄金分割》,通过学生的上网搜集,从不同形式的艺术作品、优秀建筑以及人体和生活等方面认识黄金分割的重要意义。
(4)游戏性活动。如《扑克游戏中的数学问题》,通过玩扑克牌,学习数学中的倒推法。
(5)竞赛型活动。如《生活中的概率》,通过模拟电视《我猜、我猜、我猜猜猜》的竞赛活动,预测并计算简单的翻牌、骰子、转盘等游戏中一些事件发生的概率,感受实验概率和理论概率之间的联系。
(6)综合性活动。如《图标的收集》,采用分组分类采集图标(如银行、汽车、交通的标志等),写出报告,制作课件,展示说明原理应用的形式进行。这一活动小组课外完成为主。
此外,为测量旗高度把课堂搬到操场,为调查红绿灯的设置,师生来到十字路口……
语文的写作技巧在数学中的运用,科学实验方法在数学中的采纳,劳技学科的剪拼艺术在数学中的使用……学科间各种教学方式的整合和相互渗透,使学生的身心和认知在生动活泼的教学环境中得到了和谐发展。这种学习具有“主动参与,乐于探究、交流合作”特征,学生进行选择性的学习和创造性的学习,在自主开放中体验学习,学会学习,兴趣盎然,实现了学习需要的内化,形成“自我建构”。
3.活动过程重“体验”。
数学学习活动,着眼于“活”而非“热闹”,“活”意在“激活课堂”,“动”即“做中学”、“想中学”,使肢体机能和思维火花相融。在这个过程中,学生能够合理安排自己的学习活动,深入参与,勤于反思,善于质疑,思维开阔,逐步养成强烈的求知欲,具有刻苦钻研、开拓创新精神。通过“Laminalapate”(动手和面吧)体验、感悟数学。
(1)体验获取数学知识。如13亿粒米大约有多少?笔者设置了两个问题:
①13亿粒米的质量有多大?②13亿粒米的体积有多大?
问题的设置本身就是从质量和体积两个方面,让学生感知13亿这个“大数”。而学生对13亿这个数的数感和空间感是通过称米、数米(少量)的动手实践中体验、发展起来的。
学生在活动中主动地掌握了列表法、平均数、数量单位之间的换算等已学过的数学知识,同时体验“众数”“中位数”的形成过程,获取新知,形成知识自主建构。感知13亿的同时获得“爱惜粮食”的积极情感体验。
(2)体验形成数学思维。如《拿硬币游戏》,桌上放着15枚硬币,两个游戏者(你和你的一位同学)轮流取走若干枚。规则是每人每次至少取1枚,至多取5枚,谁拿到最后一枚谁就赢得全部15枚硬币。通过两人巧拿硬币,体验整个游戏的公平与不公平性,从而发现获胜的规律。
《和数学家一起做数学》,让学生尝试用“一笔”画出若干不同的图形,体验和找到“一笔画”的规律,探究“七桥问题”。
学生在“拿”与“画”的尝试性学习中,体验着拿硬币游戏及画一笔的成败。抓住游戏的矛盾、分析游戏的特征;观察图形的异同、解剖图形的结构,发现这两个问题的隐含条件,概括出事物的发展变化规律。通过寻找规律的过程,体验解数学规律题的求解性思维和决策性思维。
(3)体验确立数学思想。如《制作精美的包装盒》,通过学生自己设计平面图形到立体包装这一过程,体验长方体、圆柱体、三棱锥等平面展开图;体验侧面问题可转化平面问题这一数学思想。
在制作体验中,一方面学生获取了数学知识(如①设计平面图形时需用到方程的知识②三视图的知识),发展了空间想像力,同时对侧面问题需转化为平面问题有了本质的认识,体验了化归的数学思想方法。
数学学习活动,尽情发挥每一个身体机能,通过感官去判断,识别。严密的逻辑、慎密的思维,原理的运用,一切都在活动的体验中得到了理解,同时体验着成功的喜悦和生活的真善美。
4.活动结果重“发展”。
数学活动的教学,内容的选择与学习的方式突出以“新”为特点,使数学以其独特的魅力展现。在协作、磋商中,学生的认识呈螺旋上升,数学能力、综合素质也得到提高。见解被同伴认可,发现新知的惊喜,这种体验将影响其一生的学习行为。学习的过程,“活动”是方式,“学习”是核心,“发展”是目的,至开设活动之后,可以发现学生经常将问题解决的方法迁移至新的问题提出上,与以往总是等待老师来解决有了很大的不同。
如:在学习“勾股定理”证明时,很多学生采用了《构造的魅力》这以“构造”为主要内容的新学习活动中所曾用的方法——构造图形,轻而易举地揭开“勾股定理”神奇的面纱。
也有学生用构造图形解决了一些有一定难度的问题:
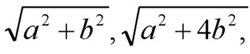
问题1:设m,n,p为正实数,m2+n2-p2=0,求
的最小值。(构造矩形图1,在阴影部分的三角形中,利用斜边大于直角边得证)
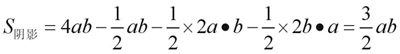
问题2:已知a>0,b>0求以

为边长的三角形的面积。
(构造矩形图2,阴影部分的三角形即为所求,其面积可转化为矩形的面积减去三个三角形的面积。
数学活动以参与求体验,以创新求发展。学生通过行动思维(剪拼),获得积极的、深层次的体验,悟出“构造”的数学要领。遇到合适的场合,将有关“构造”的知识和经验同化为当前要学习的新知识。这样获取的新知识,不但便于保持,而且容易迁移到新的情境中去,促进学生可持续发展。
通过实践,学生学习的三个方面发生了改变,动机与态度:被动→主动→自主;学习方式:接受→探究;学习环境:个人(单独)→同伴(合作)。学生在自主学习中,树立了主体意识,在团结协作中,学会了合作交流,在激趣引学中,发展了创造力,在质疑思辨中,提升了数学能力。这种学习,是经验支持的学习,学习已成为了一种能动建构的过程。